Maps Location
082184551484
[email protected]
Senin, 13 April 2026, Pukul 21:47 wib
MTs Negeri 1 Tebo
Home
Profil
Sejarah
Visi dan Misi
Tugas dan Fungsi
Struktur Organisasi
Kepemimpinan Masa ke Masa
Peta Lokasi
Manajemen
Tim Manajemen
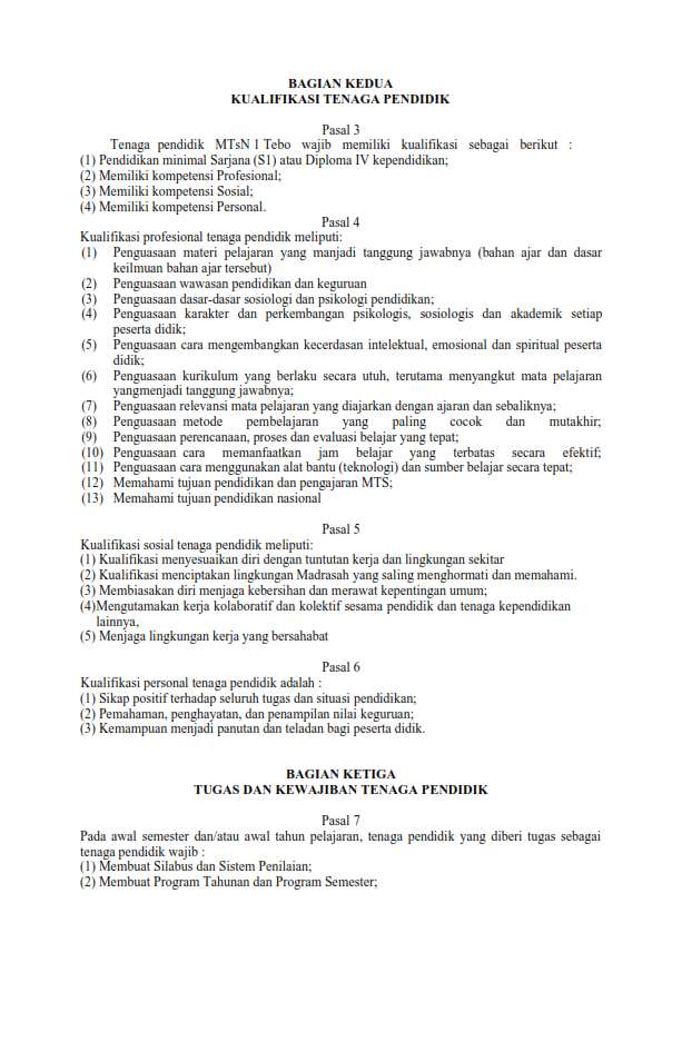
Tenaga Pendidik
Tenaga Kependidikan
Komite Madrasah
Tata Tertib Madrasah
Sarana dan Prasarana
Prestasi Madrasah
Kesiswaan
Data Siswa
Organisasi Siswa
Ekstra Kurikuler
Beasiswa/KIP/BSM
Data Prestasi Siswa
Karya Siswa
Data Alumni
Akademik
Kurikulum
Kalender Akademik
Jadwal Pelajaran
Prestasi Akademik
Karya Ilmiah Guru
Opini Tenaga Pendidik
PPID
Profil PPID
Regulasi PPID
Tugas dan Fungsi PPID
Struktur Organisasi PPID
Profil Pejabat PPID
Visi, Misi, dan Motto PPID
Layanan Informasi
Standar Layanan
Informasi Yang Dikecualikan
Informasi Berkala
Informasi Setiap Saat
Informasi Serta Merta
Media Pembelajaran
PMBM
Search by keyword
Selamat Datang di Website Resmi MTs Negeri 1 Tebo
Manajemen: Tata Tertib Madrasah
Go Back To Home
Jadwal Sholat
Untuk Wilayah
Kota Jambi
dan Sekitarnya
Memuat tanggal...
Kota Jambi
Kab. Batang Hari
Kab. Bungo
Kab. Kerinci
Kab. Merangin
Kab. Muaro Jambi
Kab. Sarolangun
Kota Sungai Penuh
Kab. Tanjung Jabung Barat
Kab. Tanjung Jabung Timur
Kab. Tebo
Imsak
--:--
Subuh
--:--
Terbit
--:--
Dhuha
--:--
Dzuhur
--:--
Ashar
--:--
Maghrib
--:--
Isya
--:--
Peta Belum Disematkan
2024 Bidang Penmad Kanwil Kemenag Provinsi Jambi
Allright Reserved
Mars Madrasah